Photometry Calculations
The math used by MaxIm DL's photometry tool to calculate magnitude and error values from the raw data is described in this section. These calculations were revised from their original implementation as of MaxIm DL Version 6.21.
Determining Target Object Magnitude
Every target object's standard magnitude
is computed from its instrumental magnitude
(i.e. its measured magnitude) and an ensemble of N
reference stars
as a weighted average of their differential magnitudes, relative to the
catalog values of each reference star.
We assume you have means to determine an object's intensity and signal to noise ratio (SNR) by processing relevant image pixel values. (MaxIm DL performs this step whenever an object is tagged, and these results depend upon the size of the aperture and annulus rings.)
If I is
the intensity of an object in an image, and
t is
the exposure time of that image, then

Let
,
where
is the
instrumental magnitude of reference star
, and
is the
catalog magnitude of 
Let the 1-sigma SNR-based uncertainty be defined as

Let
be the weight factor arising from the SNR of reference star
.
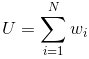
Let
,
where N is the number of reference stars.
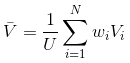
Then the standard magnitude of the object is given by

It is this value (
) that is plotted on the graph
as the object's magnitude, and is exported as MAG in the AAVSO format
and "Magnitude (Centroid)" in the CSV format.
Calculating Error
Let the SNR-based magnitude error be defined as:

Let c be the preferred minimum ensemble size, which MaxIm DL sets to 3.
Let
be
the magnitude error we seek, exported as MAGERR in the AAVSO format, and
"Error" in the CSV format.
For N = 1
, the SNR-based magnitude error
(see above).
For N < c
Let
,
the SNR-based magnitude error of the target object.
Let
,
where
is the SNR-based magnitude error for reference star
.

In other words, this is the sum in quadrature of object error and average reference star SNR-based errors.
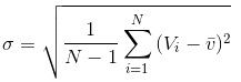
For N >= c
We use the standard deviation of target magnitude computed with respect
to each reference star:
,
where
are the standardized magnitudes of the object for each reference star
i and
is
their average.
It is this value
that is exported as MAGERR in the
AAVSO format, and "Error" in the CSV format.